Request a Tool
 

免费在线弧长计算器 | wee.tools

使用我们快速、准确且免费的在线工具 wee.tools,即可快速计算弧长、扇形面积、直径和弦长(以度或弧度为单位)。

输入

输出

弧长
0
弧长
0

公式

arc-length
  • s = 弧长(弧度)
  • r = 半径
  • θ = 中心角(弧度)

输入

输出

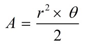
行业区域
0
行业区域
0

公式

sectoe-area
  • A = 扇区
  • r = 半径
  • θ = 中心角(弧度)

输入

输出

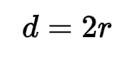
直径
0
直径
0

Formula

diameter
  • d = 直径
  • r = 半径

输入

输出

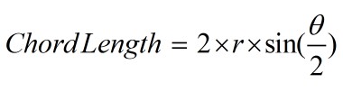
和弦 d
0
和弦 d
0

公式

chord
  • r = 半径
  • θ = 中心角(弧度)

什么是弧长?

沿曲线路径上两点之间的距离称为弧长。确定不等长弧段的长度称为曲线校正。微积分引入了一个通用公式,在某些情况下可以提供精确解。

什么是弧长计算器?

弧长计算器是一种在线工具,可以快速提供准确的结果。重要的是不要将弧长与弧度混淆,弧度是指弧的圆心角(以度为单位)。要获得正确的值,您需要将实际测量值输入到弧长计算器中。

为什么要使用弧长计算器工具?

准确性和效率:

手动计算弧长需要对几何和三角学有良好的理解。

弧长计算器工具消除了人为误差的可能性,能够快速高效地提供精确的结果。这种精度在工程和建筑等对精度要求极高的领域至关重要。

节省时间:

手动计算可能非常耗时,尤其是在处理复杂数据或进行多项计算时。此工具简化了流程,可即时提供结果,从而节省时间用于其他重要任务。

用户友好:

该工具的设计旨在方便用户使用,其简洁的界面即使是数学基础薄弱的用户也能轻松上手。这种易用性使其成为学生和专业人士的理想工具。

功能多样:

该工具可以处理各种输入和配置,使其功能多样,适用于各种应用场景。

无论处理不同的计量单位还是不同角度,该工具都会进行相应调整,以提供准确的结果。

弧长计算器工具的应用场景

教育:

在教育领域,该工具对于教学和学习至关重要。教师可以使用它来演示如何计算弧长,而学生可以使用它来检查自己的作业并加深对几何原理的理解。

工程:

工程师在设计机械零件、结构和各种组件时经常需要计算弧长。该工具可以确保计算的准确性,从而提高设计的整体安全性和功能性。

建筑:

建筑师在建筑和结构的设计中会用到弧长,尤其是在设计曲面元素时。

弧长计算器工具可以帮助他们创建蓝图和方案,确保设计既美观又结构稳固。

平面设计:

使用几何形状和图案的平面设计师和艺术家可以使用此工具创建精确且比例协调的设计。这在创建徽标、插图和各种设计元素时尤其有用。

如何使用弧长计算器工具

使用弧长计算器工具非常简单,通常包括以下步骤

选择计算类型:

从可用的计算选项中选择弧长,例如扇形面积、直径和弦长 d。

输入半径:

输入圆的半径。这是从圆心到圆周上任意一点的距离。

输入圆心角:

以度或弧度为单位输入圆心角。

这个角度是圆心弧所对的圆心角。

计算:

输入数值后,该工具会根据提供的参数自动计算弧长。

查看结果:

该工具将显示计算出的弧长。

清除按钮:

此按钮允许您清除输入字段并开始新的计算。当您需要执行多次计算或更改输入值时,此按钮非常有用。

结论:

弧长计算器工具是一款功能强大且用途广泛的实用工具,可简化弧长的计算过程。其准确性、高效性和用户友好的设计使其成为学生、教育工作者、工程师、建筑师和各种专业人士的必备工具。

通过了解如何使用此工具及其应用场景,用户可以节省时间、确保精度并加深对几何原理的理解。无论是用于教育目的还是专业应用,“弧长计算器”工具都是一款不可或缺的资源。