Request a Tool
 

查理定律计算器 – 简易气体计算 | wee.tools

使用我们免费的查理定律计算器,快速计算气体体积和温度。使用wee.tools,轻松准确地找到未知值。

输入

输出

初始体积(V1)
0

输入

输出

初始温度(T1)
0

输入

输出

最终卷(V2)
0

输入

输出

最终温度(T2)
0

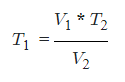
公式

char
  • V1 = 初始容量
  • T1 = 初始温度
  • V2 = 最终卷
  • T2 = 最终温度(T2)

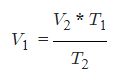
公式

initial_tem
  • V1 = 初始容量
  • T1 = 初始温度
  • V2 = 最终卷
  • T2 = 最终温度

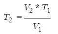
公式

final-vol
  • V1 = 初始容量
  • T1 = 初始温度
  • V2 = 最终卷
  • T2 = 最终温度

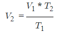
公式

final_temp
  • V1 = 初始容量
  • T1 = 初始温度
  • V2 = 最终卷
  • T2 = 最终温度

什么是查理定律?

查理定律是热力学中的一个基本原理,它描述了在压力和气体量保持不变的情况下,气体的体积和温度之间的关系。

简单来说,在压力保持不变的情况下,气体的温度升高,体积增大;温度降低,体积减小。

气体的压力并不影响这一规律,但查理定律明确指出,气体的体积随温度升高而增大,随温度降低而减小。通俗地说,如果气体受热,其体积增大;如果受冷,其体积减小。这种关系有助于理解气体在不同条件下的行为规律。

什么是查理定律计算器?

查理定律计算器是一款在线工具,用于验证在压力恒定的情况下,气体体积与温度之间是否存在正比关系。它还包含查理定律,该定律指出,在压力恒定的情况下,理想气体的体积与其以开尔文为单位的温度成正比。当压力或温度发生变化时,该计算器会给出新的体积/温度结果。

为什么要使用查理定律计算器工具

精确预测

该计算器可帮助您预测温度变化如何影响气体的体积,确保实验或实际应用中的精确计算。

节省时间

它会根据您提供的输入立即计算出新的值,这比手动计算要快得多。

教育价值

对于学生和教育工作者来说,这是一个高效的工具,可以以最简单的方式阐释和解释气体定律的原理。

实际应用

无论您是在实验室还是在工业生产过程中,在设计过程中了解气体体积如何随温度变化始终至关重要。并找出问题的解决方案。

查理定律计算器工具的应用场景

教育环境

学生和教师在物理和化学课堂上使用它来探索和阐释查理定律。

实验室

科学家和研究人员使用该工具来计算涉及气体的实验中的气体体积和温度。

工程应用

工程师使用该工具来设计和优化涉及气体的系统,例如暖通空调系统和发动机。

工业过程

该计算器有助于处理气体体积随温度变化的过程,例如制造业和化学加工。

如何使用查理定律计算器工具

使用查理定律计算器非常简单简单

选择计算类型

选择与容抗相关的计算类型,重点关注频率和电容,而非体积或温度。如果该工具包含初始体积 (V1)、初始温度 (T1)、最终体积 (V2) 或最终温度 (T2) 等选项,请输入符合您容抗需求的具体数值。

输入数值

输入您之前选择的变量值。例如,如果您想要计算最终体积,请输入初始体积、初始温度和最终温度。

自动计算

这样,您可以使用计算器自动计算未知值,只需将数值输入计算器即可。此功能可确保计算结果的准确性,无需用户进行任何操作。

查看结果

计算器将立即显示结果。此结果显示根据您提供的输入计算出的体积或温度,让您清晰地查看计算结果。

清除按钮

此按钮允许您清除输入字段并开始新的计算。当您需要执行多个面积计算或更改输入值时,此按钮非常有用。

结论

查理定律计算器是一个信息丰富的工具,用于说明和解释查理定律,该定律描述了在恒压下气体体积和温度之间的关系。这使得复杂的计算变得容易,从而提供了更便捷的方式来获得精确的答案。

无论是用于教育、研究还是实际应用,此工具都能帮助您确保气体计算的精确性和效率。使用此工具无需注册、登录或验证码。