Request a Tool
 

几何平均值计算器 – 快速免费工具 | wee.tools

使用我们免费的在线几何平均值计算器,快速计算任何数据集的几何平均值。简单、准确、易用,尽在 wee.tools。

Input

输出

几何平均值
0

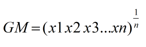
公式

gm
  • GM = 几何平均值
  • x1x2........xn = 数据集中相乘的值
  • n = 值的个数

什么是几何平均数?

几何平均数是一种计算一组数字平均值的方法,方法是将这些数字相乘,然后求乘积的立方根。它适用于呈指数增长或下降的数据,例如利率或人口规模。

例如,如果您有 2、8 和 32 这三个数字,将它们相乘得到 512,然后求立方根即可得到几何平均数。它提供了一个能够平衡数据中极端值的度量。

什么是几何平均数计算器?

几何平均数计算器是一个在线工具,用于计算一组数字的几何平均数。几何平均数适用于具有乘法或指数关系的数据。

与算术平均值的加法和除法不同,几何平均值是将所有数值相乘,然后求乘积的 n 次方根,其中 n 为数值的总数。

为什么要使用几何平均值计算器工具

准确性和精确性:

无误差计算: 确保计算精确,最大限度地减少手动计算可能出现的误差。

处理大型数据集: 高效计算大型复杂数据集的几何平均值。

节省时间:

快速结果: 提供即时结果,与手动计算相比,可节省大量时间。方法。

高效重复使用: 非常适合需要频繁计算几何平均值的任务。

多功能性:

应用范围广泛: 适用于金融、工程、科学和教育等各个领域。

多种数据类型: 可以处理不同类型的数据,无论是整数、小数还是百分比。

几何平均值计算器工具的应用场景

学术环境

数学课堂: 在中小学和大学,该工具可以帮助学生学习几何平均值的概念、计算方法以及应用场景。

统计分析: 研究人员和学生使用该工具分析增长或倍增的数据,例如增长率或集中度。

金融和投资分析

投资绩效: 他们使用几何平均值来确定多个时期内投资的平均回报率,从而确保绩效评估的准确性。

投资组合管理: 它通过计算平均回报率并比较不同投资组合的绩效来帮助管理投资组合。资产。

科学研究

生物学数据: 在生物学和环境科学中,几何平均值用于分析增长率、污染物浓度或其他乘法因子的数据。

实验结果: 研究人员使用几何平均值来汇总实验数据,这些实验中的数值呈乘法关系或指数关系。

个人用途

健康与健身: 人们使用它来跟踪和分析减肥或增肌计划的进展,这些计划中的数据呈几何模式增长。

DIY 项目: 对于涉及复利增长或其他乘法过程的个人项目,此工具可提供快速准确的结果。计算。

如何使用几何平均值计算器工具

如何使用几何平均值计算器工具

输入数字:

输入您要分析的数字集。

计算:

输入数字集后,此工具会自动计算几何平均值,方法是将这些数字相乘。

查看结果:

此按钮允许您清除输入字段并开始新的计算。

当您需要进行多次时间计算或更改输入值时,此按钮非常有用。

结论:

几何平均值计算器是一款实用工具,可快速准确地计算一组数字的几何平均值。它非常适合学生、金融分析师、研究人员以及任何需要将其用于个人用途的人士。该工具简化了复杂的计算,并提供了精确的结果,帮助用户分析数据、做出明智的决策并更好地理解乘法过程。其简洁性和高效性使其成为处理和理解不同领域几何平均值的必备工具。