Request a Tool
 

半角公式计算器 – 免费快速 | wee.tool

使用 wee.tools 可以立即求出正弦、余弦和正切的半角。非常适合学生、家庭作业和快速三角函数计算。使用 wee.tools 可以立即求出正弦、余弦和正切的半角。非常适合学生、家庭作业和快速三角函数计算。

输入

输出

半角正弦
0
半角正弦
0

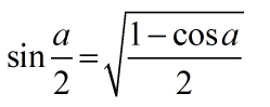
公式

sin
  • sin a/2 = 半个正弦角
  • a = 角度值

输入

输出

半角余弦
0
半角余弦
0

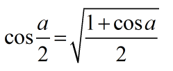
公式

halfcos
  • cos a/2 = 半个余弦角
  • a = 角度值

输入

输出

半角正切
0
半角正切
0

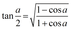
公式

halftan
  • tan a/2 = 半个正切角
  • a = 角度值

什么是半角恒等式?

半角恒等式是三角学中的一个基本概念,它用原角的三角函数来表示半角的三角函数。这些恒等式在简化表达式和求解涉及三角函数的方程时特别有用。

半角恒等式为计算三角函数值、证明恒等式以及解决微积分、物理和工程学中的问题提供了强大的工具。

什么是半角恒等式计算器?

半角恒等式计算器是一个在线工具,旨在利用半角恒等式计算半角的正弦、余弦或正切值。用户只需输入原角,即可高效地获得半角的值,无需手动计算。

这款计算器简化了计算过程并提高了精度,使其成为学生、教育工作者和处理三角函数的专业人士的宝贵资源。

为什么要使用半角恒等式计算器工具

简化复杂问题

半角恒等式可以简化复杂的三角方程和表达式。该计算器使用户能够快速找到半角值,从而更轻松地解决三角问题。

节省时间

手动计算半角值可能很耗时,尤其对于那些不太熟悉三角恒等式的人来说。该计算器可以自动完成此过程,从而节省时间并降低手动计算出错的可能性。

精度

该计算器可确保精确计算,这在数学、物理和工程应用中至关重要。

即使是手动计算中的微小误差也可能导致错误的结果,尤其是在处理复杂问题时。

多功能性

半角恒等式计算器可用于数学、物理、工程和计算机科学等多个领域。它能够简化三角函数,因此对于任何从事角度测量工作的人来说都是一个有用的工具。

支持不同角度格式

用户可以输入各种格式的角度,例如度数或弧度,从而扩大了其适用范围。此功能在经常使用不同角度测量的领域尤其有用。

半角恒等式计算器工具的应用领域

数学

在高等三角学和微积分课程中,该计算器可以帮助学生简化表达式、解方程和验证恒等式。它还支持涉及周期函数的复分析。

天文学

在天文学中,涉及天体角度的计算通常需要三角函数运算。

该计算器可以帮助天文学家推导出各种观测和计算的半角值。

工程

在电气工程和机械工程等领域,半角恒等式计算器可辅助电路分析、信号处理和控制系统,这些领域普遍使用正弦和余弦函数。

计算机图形学

该计算器可用于计算机图形学和游戏开发,在这些领域中,三角函数用于计算渲染 3D 对象和动画所需的角度和方向。

建筑与施工

该计算器对于需要计算设计角度的建筑师和施工工程师来说非常有用,可确保结构符合指定的角度和比例。

如何使用半角恒等式计算器工具

使用半角恒等式计算器非常简单。以下是分步指南:

1.选择函数

选择要计算半角的正弦、余弦或正切值。计算器界面通常会提供这些函数的选项或按钮。

2.输入角度

输入要计算半角的角度 θ。确保角度格式正确(度或弧度),符合计算器的要求。某些计算器允许您在两种格式之间切换。

3.计算

输入角度后,单击“计算”按钮。计算器将应用相应的半角公式并显示结果。

4.分析结果

查看计算值。

如有必要,您可以将这些结果用于进一步的计算或验证您对三角关系的理解。

5.清除按钮

此按钮允许您清除输入字段并开始新的计算。当您需要执行多个计算或更改输入值时,此按钮非常有用。

结论

半角恒等式计算器对于任何学习或使用三角函数的人来说都是一个非常宝贵的工具。它能够快速准确地计算半角的正弦、余弦和正切值,从而简化学习过程并提高问题解决效率。

它的应用涵盖数学、物理、工程和计算机图形学等多个学科,凸显了其多功能性和实用性。

无论您是学习三角学的学生、处理复杂方程的专业人士,还是仅仅想巩固对半角理解的人,“半角恒等式计算器”都能为您提供便捷高效的解决方案。