Request a Tool
 

帕斯卡三角形二项式展开工具 | wee.tools

使用 wee.tools 轻松利用帕斯卡三角形展开二项式。学习逐步展开二项式——非常适合学生和数学爱好者。

输入

输出

帕斯卡三角形二项式展开式
0

公式

pascal
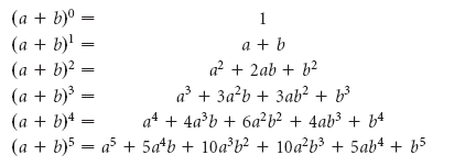
  • (a+b)^0 = 第 1 行
  • (a+b)^1 = 第 2 行
  • (a+b)^2 = 第 3 行
  • (a+b)^3 = 第 4 行
  • (a+b)^4 = 第 5 行
  • (a+b)^5 = 第 6 行

什么是帕斯卡三角形二项式展开?

帕斯卡三角形是数学中一项伟大的发明,它可以轻松展开二项式。帕斯卡三角形的元素对应于二项式展开式中变量幂次相加的系数。与其他方法相比,这种方法简化了系数的计算,从而节省了大量的计算时间。它还能加深人们对组合思想的理解,并显著提高在三角形中解决代数问题的效率。

什么是帕斯卡三角形二项式展开计算器?

帕斯卡三角形二项式展开计算器提供了一种简便的二项式展开方法。

当二项式表达式输入计算器后,用户将获得二项式的展开式以及正确的系数。因此,对于需要定期进行此类计算并希望提高效率的学生、希望检查学生作业的教师,甚至任何觉得手动计算耗时过长的数学爱好者来说,这款工具都将非常有用。借助这款出色的计算器,告别繁琐的代数运算,并熟悉新的数学公式。

为什么要使用帕斯卡三角形二项式展开计算器?

效率:

手动计算二项式展开式非常耗时,因为其中包含大量重复步骤,尤其是在处理高次表达式时。

计算器可以立即返回结果,从而节省计算时间。

准确性:

手动计算数值加法容易出错且耗时。

每次使用,该计算器都能保证准确的结果,并将出错的概率降至最低。

学习辅助:

对于学生和学习者来说,该计算器还具有学习功能,因为它展示了帕斯卡三角形和二项式展开的原理。

复杂度处理:

尤其值得一提的是,它可以一次性处理大型复杂表达式,而手动计算这些表达式会非常耗时,甚至根本无法完成。

多功能性:

它在代数、概率论、组合数学等多个需要用到二项式展开的领域都非常有用。

帕斯卡三角形二项式展开计算器工具的应用场景?

教育:

在课堂和教育环境中,学生可以使用它来验证作业,并加深对二项式展开原理的理解。

研究:

数学家和研究人员利用该计算器快速验证其研究和实验中的二项式展开。

工程:

工程师在信号处理和电路分析等领域使用二项式展开。该计算器有助于高效地执行复杂计算。

金融与经济:

分析师在期权定价模型和风险管理计算中使用二项式展开。该计算器可确保金融应用中结果的准确性。

计算机科学:

在算法分析和复杂度理论中,会用到二项式展开。该计算器有助于评估算法的复杂度和概率

如何使用帕斯卡三角形二项式展开计算器?

使用帕斯卡三角形二项式展开计算器非常简单:

输入:

在计算器上标有二项式符号的输入框中输入要展开的二项式表达式。

计算:

它会在您输入数字的瞬间进行计算,因此您无需按下按钮即可知道数字的值。

结果:

计算器将显示二项式表达式的展开形式以及从帕斯卡三角形导出的系数。

调整:

某些计算器可能提供其他选项,例如根据复杂度调整精度或显示中间步骤。

清除按钮:

清除按钮允许您重置输入字段并开始新的计算。当您需要执行多个计算或更改输入值时,此功能非常有用,可确保高效的工作流程和准确的结果。

结论:

帕斯卡三角形二项式展开计算器工具是用于二项式展开的最有效、最准确的工具之一,因为它非常灵活且具有普遍适用性。它可以减少计算结果所需的时间,提高计算精度,并且是各个领域教育的实用工具。无论是学习代数新概念的学生,还是需要精确计算结果的工程师或金融专家,这款应用程序都非常方便。除了节省时间之外,它还非常重要,因为它消除了手动展开的复杂性,使人们可以轻松地将数学原理应用于现实生活中。