Request a Tool
 

年金现值计算器 – 免费在线工具 | wee.tools

使用 wee.tools 轻松计算年金现值,wee.tools 是一款免费且准确的在线财务规划和投资分析工具。

输入

输出

现值
0

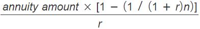
公式

present
  • r = 年利率 %
  • n = 周期数

什么是年金现值?

年金现值是一个金融概念,它用于计算一系列未来支付(即年金)折现到今天的现值。它有助于评估在特定利率下,一系列定期支付的现值是多少。了解年金的现值有助于更好地进行财务规划,并比较不同的投资机会。

什么是年金现值计算器?

年金现值计算器是一种金融工具,用于计算一系列未来年金支付按指定利率折现后的现值。年金是指按固定间隔(例如每月、每季度或每年)支付的一系列等额款项。年金现值计算的是这些未来支付的现值,并考虑了货币的时间价值。

为何使用年金现值计算器工具

投资估值

投资者使用此工具评估可提供定期支付的潜在投资的价值。通过计算现值,投资者可以根据投资的当前价值确定其是否值得进行。

贷款和抵押贷款管理

在申请贷款或抵押贷款时,借款人可以使用此工具计算贷款支付的现值。这有助于了解贷款的总成本并评估条款是否有利。

退休规划

计划退休的人士使用此工具估算未来退休金的现值。这有助于设定储蓄目标,并了解今天需要储蓄多少才能实现理想的未来退休收入。

财务报告与分析

企业使用此工具计算未来现金流的现值,用于财务报告。这对于编制准确的财务报表和做出明智的商业决策至关重要。它有助于确定其当前价值,以便进行财务分析和报告。

现值年金计算器工具的用途

投资

投资者使用该计算器评估定期支付收益的投资价值,例如债券或分红股票。财务顾问也使用该工具评估客户投资组合中各项投资的价值,并根据现值计算结果提供建议。

企业财务

企业使用该工具确定未来现金流资产的价值,从而辅助财务分析和报告。

它有助于评估商业项目现金流的现值,从而辅助投资决策和项目规划。

财务规划与咨询

财务规划师和顾问使用此计算器,帮助客户了解未来付款的现值,并协助他们做出明智的财务决策。咨询顾问使用此工具协助企业和个人进行财务规划、预算编制和投资评估。

教育用途

此工具用于教育领域,帮助学生了解货币时间价值、年金和财务计算。

它有助于演示金融概念的实际应用。

如何使用年金现值计算器工具

使用年金现值计算器很简单:

输入数值:

输入每期年金的金额、年利率和期数。

输入数值:

输入每期年金的金额、年利率和期数。

计算:

输入数值后,此工具将根据提供的输入自动计算现值。

查看结果:

查看计算出的现值以确保其准确性。

利用计算结果做出明智的财务决策。

清除按钮:

此按钮可清除输入字段并开始新的计算。当您需要执行多次计算或更改输入值时,此按钮非常有用。

结论:

现值年金计算器工具是个人和企业了解未来年金支付现值的重要资源。通过将未来现金流转换为现值,该工具有助于投资估值、贷款管理、退休规划、财务报告和预算编制。

其应用范围涵盖个人理财、投资、商业金融、财务咨询和教育。有效利用该工具可帮助用户做出明智的财务决策,评估各种金融工具的价值,并更准确地规划未来的财务需求。